Bagikan Pos

https://www.ngambis.id/posts/soal-asli-snbt-pengetahuan-kuantitatif-tahun-2024-part-1

Soal Asli SNBT Pengetahuan Kuantitatif Tahun 2024 (Part 1)

Oleh Anggara Duta Medika • 15 Dec 2025

Soal Asli SNBT Pengetahuan Kuantitatif Tahun 2024 (Part 1)

Pengetahuan kuantitatif adalah kemampuan yang berkaitan dengan matematika, seperti menggunakan informasi kuantitatif dan memanipulasi simbol-simbol angka. Di sini, kamu dapat menguji pemahaman konsep sekaligus ketepatan perhitungan dalam batas waktu 1 menit per soalnya, sehingga lebih siap menghadapi kondisi ujian sebenarnya.

Lihat Bank Soal:Kumpulan Bank Soal Pengetahuan Kuantitatif Dalam SNBT 2025, ruang lingkup materi pengetahuan kuantitatif mencakup empat bidang utama: bilangan, aljabar dan fungsi, geometri, serta statistika dan peluang. Soal-soal ini disusun berdasarkan soal asli untuk mengukur kedalaman pengetahuan matematika yang telah kamu pelajari di sekolah dan kemampuanmu menggunakan informasi kuantitatif secara tepat dalam pemecahan masalah.

Soal 1

Mudah

Bentuk sederhana dari $\left(\dfrac{6^{21}}{3^{21} \times 4^3}\right)^{\frac{1}{3}}$ adalah ...

Belum ada pembahasan.

Soal 2

Mudah

Urutan bilangan $\dfrac{1}{8}; \ 0{,}1255; \ \dfrac{3}{25}; \ 12{,}25\%$ dari yang terkecil ke terbesar adalah ...

Belum ada pembahasan.

Soal 3

Mudah

Diketahui $6 + \sqrt{36} ÷ 2 + a = 15$. Nilai $a$ adalah ...

Belum ada pembahasan.

Soal 4

Sedang

Didefinisikan operasi $\odot$ dan $\oplus$ seabgai berikut: $$ $$a \odot b = 3a^2 + 2ab + b^2,$$ $$a \oplus b = a^2b.$$ $$ Jika $4 \odot 3 = x \oplus 3$, salah satu nilai dari $x$ adalah ...

Belum ada pembahasan.

Soal 5

Sedang

Diberikan koordinat $A(1, 1)$, $B(5, 1)$, $C(1, 4)$, dan $D(-5, 4)$. Manakah dari keempat pernyataan berikut yang bernilai benar?

  1. luas bangun $ABC$ adalah 9 satuan luas
  2. luas bangun $ACD$ adalah 6 satuan luas
  3. luas bangun $BCD$ adalah 9 satuan luas
Belum ada pembahasan.

Soal 6

Sedang

Titik $A(-1, 2)$, $B(2, 5)$, $C(5, -4)$ adalah titik-titik sudut segitiga $ABC$. Persamaan garis tinggi segitiga melalui titik $B$ adalah ...

Belum ada pembahasan.

Soal 7

Sedang

Titik $A(-1, 2)$, $B(2, 5)$, dan $C(5, -4)$ adalah titik-titik sudut segitiga $ABC$. Titik potong garis tinggi segitiga melalui titik $B$ dengan garis $\overline{AC}$ adalah ...

Belum ada pembahasan.

Soal 8

Sulit

Koordinat titik-titik sudut segitiga $ABC$ adalah $A(1, 1)$, $B(1, 3)$, dan $C(d, 2)$. Apakah garis $y = mx$ memotong segitiga $ABC$? Putuskan apakah pernyataan (1) dan (2) berikut cukup untuk menjawab pertanyaan tersebut.

  1. $m > 1$ dan $d < 1$
  2. $m > 0$ dan $d < 0$
Belum ada pembahasan.

Soal 9

Sedang

Jajaran genjang $PQRS$ berikut memiliki luas 20.

Titik $T$ terletak pada $\overline{QR}$ sehingga $\overline{ST}$ tegak lurus terhadap $\overline{QR}$. Jika $(a, b)$ adalah koordinat titik $S$, nilai dari $2a + b$ adalah ...

Belum ada pembahasan.

Teks berikut digunakan untuk nomor 10–13.

Perhatikan persegi $ABCD$ berikut.

Diketahui garis $\ell$ melalui titik $D$ dan tegak lurus terhadap diagonal $\overline{BD}$.

Soal 10

Mudah

Koordinat titik $D$ adalah $(a, b)$. Nilai dari $a - 2b$ adalah ...

Belum ada pembahasan.

Soal 11

Mudah

Luas persegi $ABCD$ adalah ... satuan luas.

Belum ada pembahasan.

Soal 12

Sedang

Jarak garis $\ell$ ke titik $A$ adalah ... satuan panjang.

Belum ada pembahasan.

Soal 13

Sedang

Persamaan garis $\ell$ adalah ...

Belum ada pembahasan.

Soal 14

Sulit

Setengah lingkaran berada di dalam persegi $ABCD$ dengan panjang sisi 8 satuan dan bersinggungan dengan sisi $\overline{AB}$ dan $\overline{CD}$ seperti pada gambar berikut.

Titik $E$ berada di pertengahan $\overline{AD}$. Segmen $\overline{EF}$ dan $\overline{EG}$ masing-masing menyinggung lingkaran pada titik $H$ dan $I$. Luas segitiga $EHI$ adalah ... satuan luas.

Belum ada pembahasan.

Soal 15

Sedang

Perhatikan gambar berikut.

Jarak horizontal sembarang titik $(x_0, y_0)$ ke garis $\ell: x = ay + b$ didefinisikan sebagai $\left|x_0 - (ay_0 + b)\right|$. Sebagai contoh, jarak horizontal titik $A$ dan $B$ ke garis $\ell$ pada gambar di atas berturut-turut adalah 4 dan 5. Rata-rata jarak horizontal titik $(5, -1)$, $(-4, 5)$, dan $(6, 8)$ ke garis $m: x = \dfrac{1}{3}y - \dfrac{2}{3}$ adalah ...

Belum ada pembahasan.

Soal 16

Sedang

Diketahui $U_n$ adalah suku ke-$n$ suatu barisan geometri dengan suku-suku positif. Jika $$ U_1 + U_2 + U_3 = 9\left(\frac{1}{U_1} + \frac{1}{U_2} + \frac{1}{U_3}\right), $$ maka nilai dari $U_2 - 2$ adalah ...

Belum ada pembahasan.

Soal 17

Sedang

Diberikan fungsi $f$ dan $g$ yang memenuhi $$ (g \circ f)(x - 1) = x + 2 \quad \text{dan} \quad f(x) = 2x + 3. $$ Mana sajakah pernyataan di bawah ini yang benar?

  1. $f(2) > 7$
  2. $f(3x) = 3 + 6x$
  3. $f(0) = 5$
  4. $g^{-1}(-2) = -7$
Belum ada pembahasan.

Soal 18

Sedang

Fungsi $f$ dan $g$ didefinisikan dengan $$ f(x) = (x - 3)^2 + 5 \quad \text{dan} \quad g(x) = f(x + 2). $$ Berdasarkan informasi di atas, klik jawaban dari pilihan yang tersedia pada setiap pernyataan.

Pernyataan Benar Salah

$g(2) = f(2)$

grafik fungsi $f$ dapat diperoleh dari pergeseran fungsi $g$ dua satuan ke kanan

grafik fungsi $f$ memotong garis $x = 0$ di titik $(0, 14)$

Belum ada pembahasan.

Soal 19

Sedang

Fungsi $f$ dengan $f(x) = 5c - x$ memiliki invers $f^{-1}$ yang memenuhi $f^{-1}(3 + c^2) = 3$.

Berdasarkan informasi yang diberikan, manakah hubungan antara kuantitas P dan Q berikut yang benar?

P Q
$c$ 4
Belum ada pembahasan.

Soal 20

Sedang

Diketahui fungsi $f(\sqrt{x}) = x - 2$ dan $g(x) = 2x + 1$ memenuhi $(f \circ g)(1) = a$.

Manakah hubungan yang benar antara kuantitas P dan Q berikut berdasarkan informasi yang diberikan?

P Q
$a$ 9
Belum ada pembahasan.

Soal 21

Sedang

Jika $f^{-1}(x - 1) = \dfrac{4 - 3x}{x - 2}$, nilai dari $f(-5)$ adalah ...

Belum ada pembahasan.

Soal 22

Sedang

Jika $f{\left(\dfrac{1}{x + 1}\right)} = \dfrac{x + 3}{x + 1}$, nilai dari $a - 3$ agar $f^{-1}(a + 1) = 2$ adalah ...

Belum ada pembahasan.

Soal 23

Sedang

Jika $1 < c < 3$, maka semua nilai $x$ yang memenuhi pertidaksamaan $$ \frac{(3 - x)(x + 2)}{-x^2 + 3x - 3c} > 0 $$ adalah ...

Belum ada pembahasan.

Soal 24

Mudah

Persamaan kuadrat $3x^2 + (m - 2)x + 3 = 0$ mempunyai akar kembar, dengan $m > 0$. Nilai $m$ yang memenuhi adalah ...

Belum ada pembahasan.

Soal 25

Sedang

Diketahui $x_1$ dan $x_2$ merupakan akar-akar persamaan $x^2 + 3ax - (9 + a) = 0$. Jika $x_1^2 + x_2^2 = 29$, nilai $a$ dengan $a > 0$ adalah ...

Belum ada pembahasan.

Soal 26

Sedang

Nilai $x$ yang memenuhi $4^{x + 3} = \sqrt[3]{8^{x + 3}}$ adalah ...

Belum ada pembahasan.

Soal 27

Mudah

Nilai $x$ yang memenuhi ${}^{2}\!\log(3x - 1) = 3$ adalah ...

Belum ada pembahasan.

Teks berikut digunakan untuk nomor 28–29.

Perhatikan diagram alir berikut.

Pada diagram alir tersebut, $\text{KPK}(q, r)$ menyatakan kelipatan persekutuan terkecil dari $q$ dan $r$. Bilangan bulat positif $a$ dan $b$ memenuhi kedua pernyataan berikut:

  • input $p = 3$ menghasilkan $s = 10$
  • input $p = 4$ menghasilkan $s = 19$

Soal 28

Sedang

Nilai $a$ adalah ...

Belum ada pembahasan.

Soal 29

Sedang

Nilai $b$ adalah ...

Belum ada pembahasan.

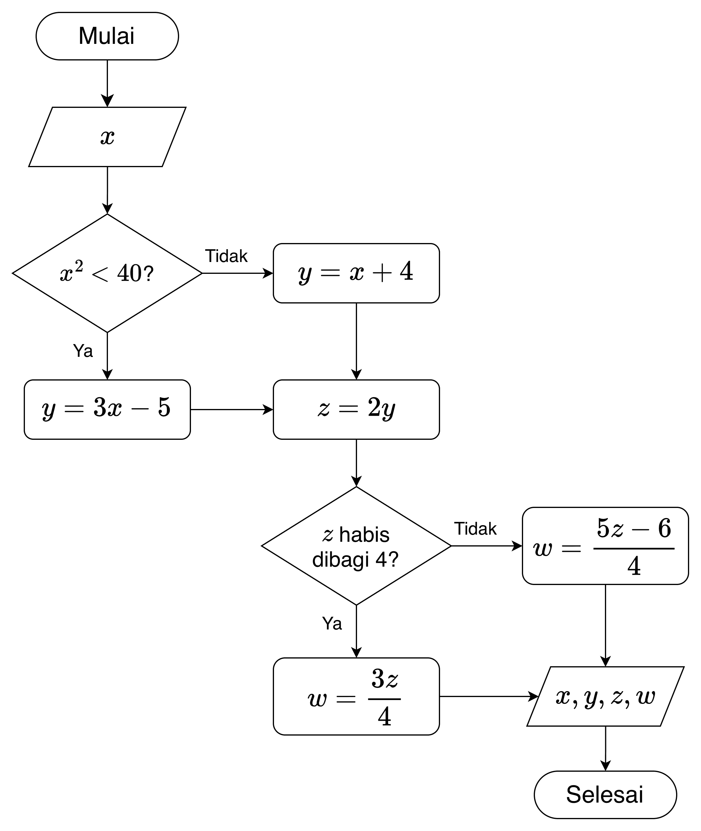
Soal 30

Sedang

Perhatikan diagram alir berikut.

Jika diberikan input $x = 7$, manakah pernyataan berikut yang benar dengan menjalankan prosedur yang disajikan diagram?

  1. $y - x$ bilangan genap
  2. $w < 20$
  3. $x$ dan $y$ bilangan ganjil
  4. $w$ kelipatan 3
Belum ada pembahasan.

Soal 31

Sedang

Perhatikan diagram alir berikut.

Jika diberikan input $x = 7$, mana sajakah pernyataan berikut yang BENAR dengan menjalan prosedur yang disajikan diagram?

  1. $w$ bilangan prima
  2. $w$ habis dibagi 2
  3. $w$ lebih kecil daripada 7
  4. 10 habis dibagi $w$
Belum ada pembahasan.

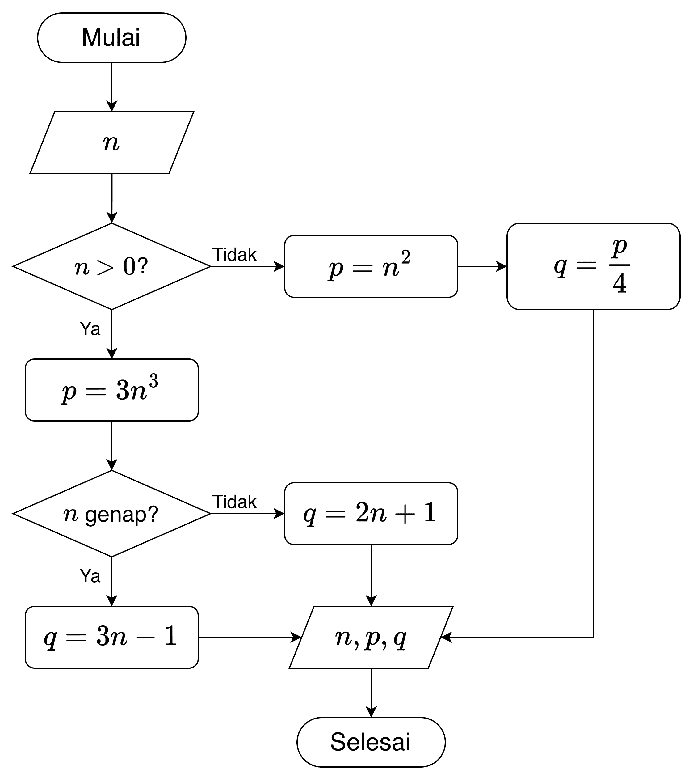
Soal 32

Sedang

Perhatikan diagram alir berikut.

Jika diberikan input $n = -6$, mana sajakah pernyataan berikut yang BENAR dengan menjalan prosedur yang disajikan diagram?

  1. $q$ bilangan kuadrat
  2. $q$ bilangan genap
  3. $p - q$ bilangan ganjil
  4. $\dfrac{p + n}{q} > 4$
Belum ada pembahasan.

Soal 33

Sedang

Perhatikan diagram alir berikut.

Jika diberikan input $x = 7$, mana sajakah pernyataan berikut yang BENAR dengan menjalan prosedur yang disajikan diagram?

  1. $z$ lebih besar daripada 50
  2. $z$ habis dibagi 5
  3. $x + y + z$ bilangan ganjil
  4. $x \cdot y$ bilangan ganjil
Belum ada pembahasan.

Soal 34

Sedang

Suatu proses penerimaan karyawan terdiri atas 4 tahapan, yakni seleksi berkas, TKD, psikotes, dan wawancara. Rencananya, akan diambil 50% pelamar kerja pada setiap tahapannya. Selanjutnya, pada tahap wawancara akan diambil 4% dari pelamar yang lolos ke tahap ini untuk diterima sebagai pekerja. Jika terdapat 2.200 pelamar yang mendaftar, banyak cara penempatan kerja untuk divisi A dengan kuota 2 orang adalah ...

Belum ada pembahasan.

Soal 35

Sedang

Seorang ibu hamil diketahui memiliki lingkar perut awal 84 cm. Hasil analisis dokter menyatakan bahwa lingkar perut ibu tersebut akan bertambah 7 cm per minggu jika bayinya laki-laki dan 5 cm per minggu jika bayinya perempuan. Diameter perut ibu setelah 4 minggu apabila bayinya kembar (laki-laki dan perempuan) adalah ... cm.

Belum ada pembahasan.

Soal 36

Sedang

Terdapat empat toko yang menjual jenis barang yang sama. Berikut merupakan daftar harga barang dan diskon yang ditawarkan tiap toko:

Barang Harga Diskon Toko Rame Diskon Toko Damai Diskon Toko Seneng Diskon Toko Indah
Baju Rp80.000,00 25% 20% 15% 10%
Celana Rp100.000,00 10% 15% 20% 25%
Belum ada pembahasan.

Soal 37

Sedang

Seorang pedagang membeli TV dengan harga Rp1.000.000,00. Ia menjual TV tersebut dengan memberi diskon 10%. Sebelum memberi diskon, ia menaikkan harga TV sebesar 10%. Dengan melakukan hal ini, yang akan dialami pedagang tersebut adalah ...

Belum ada pembahasan.

Soal 38

Mudah

Bank XYZ menawarkan bunga tunggal dengan suku bunga 5% per tahunnya. Jika seseorang menabung Rp10.000.000,00 di Bank XYZ, tabungannya akan menjadi Rp20.000.000,00 setelah menabung selama ... tahun.

Belum ada pembahasan.

Soal 39

Mudah

Pak Nurdin menabung uang di Bank A sebesar Rp30.000.000,00 dengan bunga tunggal 6% per tahun. Jika selama $n$ bulan uang Pak Nurdin menjadi Rp31.500.000,00, manakah hubungan antara kuantitas P dan Q berikut yang benar?

P Q
$n$ 12
Belum ada pembahasan.

Soal 40

Sedang

Imam menabung dengan sistem bunga majemuk sebesar 10% per tahun. Tabungan awalnya sebesar Rp100.000,00. Jika tabungan akhir Imam sebesar Rp121.000,00, berapa lama Imam menabung?

Belum ada pembahasan.

Soal 41

Sedang

Zahra menabung uang senilai $x$ dari suatu bank dengan bunga majemuk. Jika saldo rekeningnya 12 tahun yang akan datang adalah $y$, sedangkan saldo rekeningnya 16 tahun kemudian adalah $3y$, nilai dari $\dfrac{y}{x}$ adalah ...

Belum ada pembahasan.

Soal 42

Sedang

Diberikan data: 5, 7, 9, 10, 10, 11, 13, 14, 14, 14, 17, 20. Berapakah banyaknya dari pernyataan berikut yang bernilai BENAR?

  1. median dan modusnya bernilai sama
  2. rata-ratanya adalah 12
  3. modusnya lebih besar dari rata-rata
  4. mediannya sama dengan rata-ratanya
Belum ada pembahasan.

Komentar

Jaga etika; komentar yang tidak pantas akan dihapus.

Memuat komentar...